Where do THC-A & CBD-A come from?

But first, please see this PDF if you come across any terms you’re unfamiliar with. Please EMAIL MARY if any are missing that you’re curious about.

THC-A & CBD-A are cannabinoids, each with their own medicinal benefits, that are naturally developed as the plant grows. The plants’ genetics’ determine if it is THC or CBD dominant (or what ratio it might have- 1:1, 20:1, etc …), the genetics also determine the quantity of trichomes (containing THC-A, CBD-A, terpenes, flavonoids & other cannabinoids).

It is important to remember that whatever the plant is programmed to produce is set. Now, it is up to us to learn how to effectively use it!

 
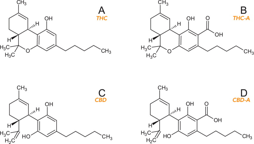
Structures of THC (A), THCA (B), CBD (C) and CBDA (D).IMAGE COURTESY OF:TY - JOUR AU - Krizek, Tomas AU - Bursová, Miroslava AU - Horsley, Rachel AU - Kuchar, Martin AU - Tůma, Petr AU - Cabala, Radomir AU - Hložek, Tomáš PY - 2018/05/01 SP - T1 - M…

Structures of THC (A), THCA (B), CBD (C) and CBDA (D).

IMAGE COURTESY OF:

TY - JOUR AU - Krizek, Tomas AU - Bursová, Miroslava AU - Horsley, Rachel AU - Kuchar, Martin AU - Tůma, Petr AU - Cabala, Radomir AU - Hložek, Tomáš PY - 2018/05/01 SP - T1 - Menthol-based hydrophobic deep eutectic solvents: Towards greener and efficient extraction of phytocannabinoids VL - 193 DO - 10.1016/j.jclepro.2018.05.080 JO - Journal of Cleaner Production ER -

IMG_4311.jpg

Protect cannabis from:

Heat

Light

Air

… to limit decarboxylation (or loss of THC-A or CBD-A) to your cannabis buds!

You can get airlock humidor type containers to keep buds fresh.

THC-A is a larger compound than THC & CBD-A is a larger compound than CBD because they still have the carboxyl group (what makes it still an acid precursor). When time has passed, or the plant is heated up THC-A will degrade to THC (psychoactive). CBD-A degrades to CBD. THC binds directly to our cannabinoid receptors in 3/4 of our cells and CBD impacts various enzymes in our body. You can look at CBD as THC Jr. Benefits are that it is non-psychoactive- vs THC. A great introductory or preventative medicament to keep on hand that will keep your own endocannabinoid system stimulated. Once THC—A & CBD-A have been exposed to HEAT - LIGHT - AIR they will lose their acidic structure & fit with our cannabinoid receptors or enzymes like a puzzle piece.

 Decarboxylation, or decarbing, is is the chemical reaction that removes the carboxyl group and releases carbon dioxide through exposure to heat, light, or air. FYI, it is rumored that CBD turns into THC if decarbed in citrus. This is not true (see link for a study done on the subject).


It’s important to note:

THC-A is 10x more powerful as an anti-emetic (anti-nausea) than THC and CBD-A is up to 1,000 more powerful than CBD. Take this into consideration if you have particular issues with keeping food down or issues with spasticity or anxiety.

Our endocannabinoid system- how our cells communicate with each other & how cannabis/hemp gets into our body.

BFC_The_ECS_08_12_18.001.jpeg

Now, what are the differences between THC-A, THC, CBD-A, & CBD?

The attached PDF will show you a list of what THC-A, THC, CBD & CBD-A has been shown to help with. This can be used as a menu of sorts to point you in the best spot to look to help with your condition(s).

(Click the link above for more information)

 

What’s so Great About Cannabis? Nutritional content!

(Click the link above for more information)


 

So, if THC-A & CBD-A come from raw, unheated plants… How do we then capture it for our-own use?

Try snacking on the fan leaves! Perhaps a bit of the raw bud, too! Some doctors that are highly respected in the cannabis community suggest that their patients take a little nibble of bud every day! A cultivator in OR I follow treats his fibromyalgia by eating a few fan leaves every day.

Make an apple cider vinegar tincture. Just soak the raw bud in apple cider vinegar for at least an hour & up to 1 month.

Incorporate into soups, sauces, various meals! If heating the raw bud up, remember you’ll be activating the THC-A making it psychoactive.

Juice the fan leaves, buds too if your looking for an extra boost of cannabinoids! Consider freezing your juice in mini ice cube trays so you can preserve your juice longer term. Pop a cube out and add it to a bottle of water or a smoothie, or consider adding a cube to a cup of tea to decarb it and make it more relaxing.

 
 

NV allows patients to grow if at least one exception for home growing is selected on your NV medical marijuana (MMJ) application. This allows the patient to grow 12 plants, even within 25 miles of a dispensary!

Be sure to know the laws!

 

tips for How to choose your strains:

  • Research strain(s) to grow.

    • Leafly

    • Wikileaf

    • Weedmaps

      • What do the patient reviews say others have thought about the medicinal benefits?

      • What are the parent strains? Might they have helpful medicinal qualities?

  • Read about the strain, read patient reviews- what have others thought? Not guaranteed that you’ll receive the same effects, every system is different but that research could produce positive results!

Where to buy your strains in the U.S.A.

You can use your credit card at the following seedbanks, I’ve purchased successfully from seedbanks in Europe but you need to transfer funds from your bank, please contact Mary if you’re interested & would like advice on going forward. I’ve purchased successfully from both seedbanks.


 

Benefits of only raising females- no seeds to work through. Seeds are a time consuming thing to deal with. I far prefer to pull any possible males that could pollinate the bud! Watch for hermaphrodites, too! They will show both male and female parts of the plant.

Females: Typically grown to harvest buds (highest concentrations of trichomes- cannabinoids, terpenes, flavonoids & such.

Males- save to juice! If you’re worried about releasing the pollen from the pollen sacs around the buds, slip a bag over them, cut them off and toss them in your garbage. Some people collect pollen to breed but be careful it airs out completely so as not to let mold.

-to Juice-

Mary WebberComment