Live plants- largest producer of the acidic cannabinoids. Cannabis juice fills the plant. To access, put leaves through a juicer!

Join Bluejeans meeting 08.17.2020 @ 10:00 AM

(1)- START HERE!) THC-A & CBD-A

Lesson Plan

What are they?

THC-A is the acidic precursor to THC, CBD-A is the acidic precursor to CBD found in large quantities in the raw plant that have each has shown they can provide medicinal benefits.

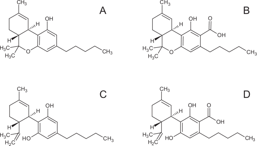
(2) chemical structures of THC-A, THC, CBD, CBD-A:

THC-A is 10x more powerful as an anti-emetic (reduce nausea) than THC and CBD-A i up to 1,000 more powerful than CBD. Take this into consideration if you have particular issues with keeping food down or issues with spasticity or anxiety.

Structures of THC (A), THCA (B), CBD (C) and CBDA (D).TY - JOUR AU - Krizek, Tomas AU - Bursová, Miroslava AU - Horsley, Rachel AU - Kuchar, Martin AU - Tůma, Petr AU - Cabala, Radomir AU - Hložek, Tomáš PY - 2018/05/01 SP - T1 - Menthol-based hydro…

Structures of THC (A), THCA (B), CBD (C) and CBDA (D).

TY - JOUR AU - Krizek, Tomas AU - Bursová, Miroslava AU - Horsley, Rachel AU - Kuchar, Martin AU - Tůma, Petr AU - Cabala, Radomir AU - Hložek, Tomáš PY - 2018/05/01 SP - T1 - Menthol-based hydrophobic deep eutectic solvents: Towards greener and efficient extraction of phytocannabinoids VL - 193 DO - 10.1016/j.jclepro.2018.05.080 JO - Journal of Cleaner Production ER -

IMG_4306.jpeg

Cannabis “volunteers” that sprouted from seed in February 2020.

IMG_4310.jpeg

Cannabis “volunteers” that sprouted from seed from the previously (& unintended) pollinated crop in February 2020.

Seeds from an unintended pollinated cannabis crop, good genetics, at least.



Juiced fan leaves. Approximately 7 lb of fan leaves provided 9.3 cups of juice!

Juiced fan leaves. Approximately 7 lb of fan leaves provided 9.3 cups of juice!

Keep medicine out of light, heat to prevent THC-A from degrading faster than needed.

IMG_4297.jpeg

Cannabis “volunteers” that sprouted from seed in February 2020.

Seeds from an unintended pollinated cannabis crop, good genetics, at least.

Washing the fan leaves in baking soda and lemon juice to clean any debris away.

Washing the fan leaves in baking soda and lemon juice to clean any debris away.

Juice pulp to feed plants!

Juice pulp to feed plants!

This video shows cannabis juice filling mini ice cube trays to freeze for long term storage.